5. Monomer File Preparation

TODOTODOTODOTODOTOD

Here, we describe how to prepare a reasonable monomer file step-by-step.

5.1. Coordinate

Given a monomer, like the one shown below, there are a lot of tools in computational chemistry community to build its 3D structure, like Avogadro or GaussView. The structure can be then optimized at some quantum chemical level of theory, like xTB or B3LYPD3/def2-SVP. The obtained structure should be saved in XYZ format, like monomer.inp shown below.

_images/p2.png
monomer.xyz
 145
 2monomer
 3C                 -0.00000000    0.00000000    0.00000000
 4C                 -0.99204361    0.67989624   -0.94006954
 5C                 -1.62513076   -0.10642738   -1.90138442
 6C                 -1.24520505    2.04367646   -0.93242437
 7C                 -2.50784698    0.45009463   -2.80643536
 8H                 -1.41636178   -1.16636581   -1.94027187
 9C                 -2.12863118    2.60280511   -1.84215854
10H                 -0.74872619    2.68691666   -0.22165626
11C                 -2.76733728    1.81056951   -2.77756466
12H                 -2.99072901   -0.17871632   -3.54031416
13H                 -2.31214042    3.66730700   -1.81823226
14H                 -3.45545629    2.24898711   -3.48516956
15C                  0.67989624    0.99204361    0.94006954
16C                  2.04367646    1.24520505    0.93242437
17C                 -0.10642738    1.62513076    1.90138442
18C                  2.60280511    2.12863118    1.84215854
19H                  2.68691666    0.74872619    0.22165626
20C                  0.45009463    2.50784698    2.80643536
21H                 -1.16636581    1.41636178    1.94027187
22C                  1.81056951    2.76733728    2.77756466
23H                  3.66730700    2.31214042    1.81823226
24H                 -0.17871632    2.99072901    3.54031416
25H                  2.24898711    3.45545629    3.48516956
26C                  0.99204361   -0.67989624   -0.94006954
27C                  1.24520505   -2.04367646   -0.93242437
28C                  1.62513076    0.10642738   -1.90138442
29C                  2.12863118   -2.60280511   -1.84215854
30H                  0.74872619   -2.68691666   -0.22165626
31C                  2.50784698   -0.45009463   -2.80643536
32H                  1.41636178    1.16636581   -1.94027187
33C                  2.76733728   -1.81056951   -2.77756466
34H                  2.31214042   -3.66730700   -1.81823226
35H                  2.99072901    0.17871632   -3.54031416
36H                  3.45545629   -2.24898711   -3.48516956
37C                 -0.67989624   -0.99204361    0.94006954
38C                  0.10642738   -1.62513076    1.90138442
39C                 -2.04367646   -1.24520505    0.93242437
40C                 -0.45009463   -2.50784698    2.80643536
41H                  1.16636581   -1.41636178    1.94027187
42C                 -2.60280511   -2.12863118    1.84215854
43H                 -2.68691666   -0.74872619    0.22165626
44C                 -1.81056951   -2.76733728    2.77756466
45H                  0.17871632   -2.99072901    3.54031416
46H                 -3.66730700   -2.31214042    1.81823226
47H                 -2.24898711   -3.45545629    3.48516956

5.2. Connectivity

When we have obtained coordinates, the easiest way to generate remaining information is to use the tool topgen, which is a part of ABCluster suite of software. For user’s convenience, we have already included it in the distribution of ABGrow. Just run the following command:

$ topgen monomer.xyz

You will get the following output:

Analyze topology for the molecule from "monomer.xyz" ... done.

Exporting results to "monomer" +
 .gjf:         GJF file with bonding information.
 -cycles.txt:  Containing cycle texts that can be used for ABCluster:geom calculation.
 -bonding.xyz: XYZ file with bonding information for ABCluster:geom calculation.
 -rigid.xyz:   XYZ file with bonding information for ABCluster:rigidmol calculation.
 .psf:         PSF file with topology information for ABCluster:geom/NAMD calculations.
 -abgrow.xyz:  XYZ file with much information for ABGrow calculation.

In "monomer-rigid.xyz", "monomer-abgrow.xyz", and "monomer.psf":
 "X" means unknown atomic type.
 Total charge: -0.3900
 -----------------------------------------------------------
 | You can adjust charges to meet the target total charge, |
 | or re-fit RESP charges using, e.g., Multiwfn.           |
 -----------------------------------------------------------

Atoms are typed using graph representation learning. Please cite:
 Zhang, J. Atom Typing Using Graph Representation Learning: How Do Models Learn Chemistry?
 J. Chem. Phys. 2022, 156, 204108

Attention

If you used topgen, please cite the following paper:

Although topgen generates a lot of files, the only one useful to us is monomer-abgrow.xyz:

monomer-abgrow.xyz
  145
  2Generated by ABCluster
  3C     -0.00000000      0.00000000      0.00000000
  4C     -0.99204361      0.67989624     -0.94006954
  5C     -1.62513076     -0.10642738     -1.90138442
  6C     -1.24520505      2.04367646     -0.93242437
  7C     -2.50784698      0.45009463     -2.80643536
  8H     -1.41636178     -1.16636581     -1.94027187
  9C     -2.12863118      2.60280511     -1.84215854
 10H     -0.74872619      2.68691666     -0.22165626
 11C     -2.76733728      1.81056951     -2.77756466
 12H     -2.99072901     -0.17871632     -3.54031416
 13H     -2.31214042      3.66730700     -1.81823226
 14H     -3.45545629      2.24898711     -3.48516956
 15C      0.67989624      0.99204361      0.94006954
 16C      2.04367646      1.24520505      0.93242437
 17C     -0.10642738      1.62513076      1.90138442
 18C      2.60280511      2.12863118      1.84215854
 19H      2.68691666      0.74872619      0.22165626
 20C      0.45009463      2.50784698      2.80643536
 21H     -1.16636581      1.41636178      1.94027187
 22C      1.81056951      2.76733728      2.77756466
 23H      3.66730700      2.31214042      1.81823226
 24H     -0.17871632      2.99072901      3.54031416
 25H      2.24898711      3.45545629      3.48516956
 26C      0.99204361     -0.67989624     -0.94006954
 27C      1.24520505     -2.04367646     -0.93242437
 28C      1.62513076      0.10642738     -1.90138442
 29C      2.12863118     -2.60280511     -1.84215854
 30H      0.74872619     -2.68691666     -0.22165626
 31C      2.50784698     -0.45009463     -2.80643536
 32H      1.41636178      1.16636581     -1.94027187
 33C      2.76733728     -1.81056951     -2.77756466
 34H      2.31214042     -3.66730700     -1.81823226
 35H      2.99072901      0.17871632     -3.54031416
 36H      3.45545629     -2.24898711     -3.48516956
 37C     -0.67989624     -0.99204361      0.94006954
 38C      0.10642738     -1.62513076      1.90138442
 39C     -2.04367646     -1.24520505      0.93242437
 40C     -0.45009463     -2.50784698      2.80643536
 41H      1.16636581     -1.41636178      1.94027187
 42C     -2.60280511     -2.12863118      1.84215854
 43H     -2.68691666     -0.74872619      0.22165626
 44C     -1.81056951     -2.76733728      2.77756466
 45H      0.17871632     -2.99072901      3.54031416
 46H     -3.66730700     -2.31214042      1.81823226
 47H     -2.24898711     -3.45545629      3.48516956
 48
 491 2 1.0 13 1.0 24 1.0 35 1.0
 502 3 1.0 4 2.0
 513 5 2.0 6 1.0
 524 7 2.0 8 1.0
 535 9 2.0 10 1.0
 546
 557 9 2.0 11 1.0
 568
 579 12 1.0
 5810
 5911
 6012
 6113 14 2.0 15 1.0
 6214 16 2.0 17 1.0
 6315 18 2.0 19 1.0
 6416 20 2.0 21 1.0
 6517
 6618 20 2.0 22 1.0
 6719
 6820 23 1.0
 6921
 7022
 7123
 7224 25 2.0 26 1.0
 7325 27 2.0 28 1.0
 7426 29 2.0 30 1.0
 7527 31 2.0 32 1.0
 7628
 7729 31 2.0 33 1.0
 7830
 7931 34 1.0
 8032
 8133
 8234
 8335 36 1.0 37 2.0
 8436 38 2.0 39 1.0
 8537 40 2.0 41 1.0
 8638 42 2.0 43 1.0
 8739
 8840 42 2.0 44 1.0
 8941
 9042 45 1.0
 9143
 9244
 9345
 94
 95<< Add Reactive Sites by User >>
 96
 97CG2RC7       0.0700
 98CG2R61      -0.1150
 99CG2R61      -0.1150
100CG2R61      -0.1150
101CG2R61      -0.1150
102HGR61        0.1150
103CG2R61      -0.1150
104HGR61        0.1150
105CG2R61      -0.1150
106HGR61        0.1150
107HGR61        0.1150
108HGR61        0.1150
109CG2R61      -0.1150
110CG2R61      -0.1150
111CG2R61      -0.1150
112CG2R61      -0.1150
113HGR61        0.1150
114CG2R61      -0.1150
115HGR61        0.1150
116CG2R61      -0.1150
117HGR61        0.1150
118HGR61        0.1150
119HGR61        0.1150
120CG2R61      -0.1150
121CG2R61      -0.1150
122CG2R61      -0.1150
123CG2R61      -0.1150
124HGR61        0.1150
125CG2R61      -0.1150
126HGR61        0.1150
127CG2R61      -0.1150
128HGR61        0.1150
129HGR61        0.1150
130HGR61        0.1150
131CG2R61      -0.1150
132CG2R61      -0.1150
133CG2R61      -0.1150
134CG2R61      -0.1150
135HGR61        0.1150
136CG2R61      -0.1150
137HGR61        0.1150
138CG2R61      -0.1150
139HGR61        0.1150
140HGR61        0.1150
141HGR61        0.1150

Line 49-93 is connectivity information of Gaussian job file (gjf) format, which was explained in Input File. In most cases, the connectivity is reliable.

Bond orders do not matter as long as is greater than 0. For example, GaussView may generate a file that atom 35 and 37 has a bond order of 1.5, being different from what we got by topgen as line 83 suggests a bond order of 2.0. This will not affect the following simulation.

Although monomer-abgrow.xyz has already contained much information, we still have to add or check the following information.

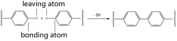
5.3. Reactive Sites

Reactive sites are the atoms to react in the formation of amorphous materials. For a reactive site, one atom is to form a new bond and one atom is to leave, like the one shown below:

_images/p3.png

For each reactive site, they can be defined in the following manner:

bonding_atom_index leaving_atom_index 0 0

where the 2 0 are reserved for future use. Since there are 4 reactive sites (see below)

_images/p4.png

we add them and arrive at the following monomer file:

monomer-abgrow.xyz
  145
  2Generated by ABCluster
  3C     -0.00000000      0.00000000      0.00000000
  4C     -0.99204361      0.67989624     -0.94006954
  5C     -1.62513076     -0.10642738     -1.90138442
  6C     -1.24520505      2.04367646     -0.93242437
  7C     -2.50784698      0.45009463     -2.80643536
  8H     -1.41636178     -1.16636581     -1.94027187
  9C     -2.12863118      2.60280511     -1.84215854
 10H     -0.74872619      2.68691666     -0.22165626
 11C     -2.76733728      1.81056951     -2.77756466
 12H     -2.99072901     -0.17871632     -3.54031416
 13H     -2.31214042      3.66730700     -1.81823226
 14H     -3.45545629      2.24898711     -3.48516956
 15C      0.67989624      0.99204361      0.94006954
 16C      2.04367646      1.24520505      0.93242437
 17C     -0.10642738      1.62513076      1.90138442
 18C      2.60280511      2.12863118      1.84215854
 19H      2.68691666      0.74872619      0.22165626
 20C      0.45009463      2.50784698      2.80643536
 21H     -1.16636581      1.41636178      1.94027187
 22C      1.81056951      2.76733728      2.77756466
 23H      3.66730700      2.31214042      1.81823226
 24H     -0.17871632      2.99072901      3.54031416
 25H      2.24898711      3.45545629      3.48516956
 26C      0.99204361     -0.67989624     -0.94006954
 27C      1.24520505     -2.04367646     -0.93242437
 28C      1.62513076      0.10642738     -1.90138442
 29C      2.12863118     -2.60280511     -1.84215854
 30H      0.74872619     -2.68691666     -0.22165626
 31C      2.50784698     -0.45009463     -2.80643536
 32H      1.41636178      1.16636581     -1.94027187
 33C      2.76733728     -1.81056951     -2.77756466
 34H      2.31214042     -3.66730700     -1.81823226
 35H      2.99072901      0.17871632     -3.54031416
 36H      3.45545629     -2.24898711     -3.48516956
 37C     -0.67989624     -0.99204361      0.94006954
 38C      0.10642738     -1.62513076      1.90138442
 39C     -2.04367646     -1.24520505      0.93242437
 40C     -0.45009463     -2.50784698      2.80643536
 41H      1.16636581     -1.41636178      1.94027187
 42C     -2.60280511     -2.12863118      1.84215854
 43H     -2.68691666     -0.74872619      0.22165626
 44C     -1.81056951     -2.76733728      2.77756466
 45H      0.17871632     -2.99072901      3.54031416
 46H     -3.66730700     -2.31214042      1.81823226
 47H     -2.24898711     -3.45545629      3.48516956
 48
 491 2 1.0 13 1.0 24 1.0 35 1.0
 502 3 1.0 4 2.0
 513 5 2.0 6 1.0
 524 7 2.0 8 1.0
 535 9 2.0 10 1.0
 546
 557 9 2.0 11 1.0
 568
 579 12 1.0
 5810
 5911
 6012
 6113 14 2.0 15 1.0
 6214 16 2.0 17 1.0
 6315 18 2.0 19 1.0
 6416 20 2.0 21 1.0
 6517
 6618 20 2.0 22 1.0
 6719
 6820 23 1.0
 6921
 7022
 7123
 7224 25 2.0 26 1.0
 7325 27 2.0 28 1.0
 7426 29 2.0 30 1.0
 7527 31 2.0 32 1.0
 7628
 7729 31 2.0 33 1.0
 7830
 7931 34 1.0
 8032
 8133
 8234
 8335 36 1.0 37 2.0
 8436 38 2.0 39 1.0
 8537 40 2.0 41 1.0
 8638 42 2.0 43 1.0
 8739
 8840 42 2.0 44 1.0
 8941
 9042 45 1.0
 9143
 9244
 9345
 94
 95 9 12 0 0
 9620 23 0 0
 9731 34 0 0
 9842 45 0 0
 99
100CG2RC7       0.0700
101CG2R61      -0.1150
102CG2R61      -0.1150
103CG2R61      -0.1150
104CG2R61      -0.1150
105HGR61        0.1150
106CG2R61      -0.1150
107HGR61        0.1150
108CG2R61      -0.1150
109HGR61        0.1150
110HGR61        0.1150
111HGR61        0.1150
112CG2R61      -0.1150
113CG2R61      -0.1150
114CG2R61      -0.1150
115CG2R61      -0.1150
116HGR61        0.1150
117CG2R61      -0.1150
118HGR61        0.1150
119CG2R61      -0.1150
120HGR61        0.1150
121HGR61        0.1150
122HGR61        0.1150
123CG2R61      -0.1150
124CG2R61      -0.1150
125CG2R61      -0.1150
126CG2R61      -0.1150
127HGR61        0.1150
128CG2R61      -0.1150
129HGR61        0.1150
130CG2R61      -0.1150
131HGR61        0.1150
132HGR61        0.1150
133HGR61        0.1150
134CG2R61      -0.1150
135CG2R61      -0.1150
136CG2R61      -0.1150
137CG2R61      -0.1150
138HGR61        0.1150
139CG2R61      -0.1150
140HGR61        0.1150
141CG2R61      -0.1150
142HGR61        0.1150
143HGR61        0.1150
144HGR61        0.1150

5.4. Force Field Information

The last part of monomer input file is the force field information. For each atom, its “atom type” and “charge” are given:

...
CG2R61      -0.1150
CG2R61      -0.1150
HGR61        0.1150
CG2R61      -0.1150
...

Unfortunately, it is not possible to get 100% correct force field information automatically, so manually adjustment and calculation is still needed.

5.4.1. Atom Type

In the current version of ABGrow, each atom will be given an “atom type” as indicated in CGenFF, i.e. the following part in par_all36_cgenff.prm:

we add them and arrive at the following monomer file:

par_all36_cgenff.prm
  1ATOMS
  2!hydrogens
  3MASS  -1  HGA1       1.00800 ! alphatic proton, CH
  4MASS  -1  HGA2       1.00800 ! alphatic proton, CH2
  5MASS  -1  HGA3       1.00800 ! alphatic proton, CH3
  6MASS  -1  HGA4       1.00800 ! alkene proton; RHC=
  7MASS  -1  HGA5       1.00800 ! alkene proton; H2C=CR
  8MASS  -1  HGA6       1.00800 ! aliphatic H on fluorinated C, monofluoro
  9MASS  -1  HGA7       1.00800 ! aliphatic H on fluorinated C, difluoro
 10MASS  -1  HGAAM0     1.00800 ! aliphatic H, NEUTRAL trimethylamine (#)
 11MASS  -1  HGAAM1     1.00800 ! aliphatic H, NEUTRAL dimethylamine (#)
 12MASS  -1  HGAAM2     1.00800 ! aliphatic H, NEUTRAL methylamine (#)
 13!(#) EXTREME care is required when doing atom typing on compounds that look like this. Use ONLY
 14!on NEUTRAL METHYLAMINE groups, NOT Schiff Bases, but DO use on 2 out of 3 guanidine nitrogens
 15MASS  -1  HGP1       1.00800 ! polar H
 16MASS  -1  HGP2       1.00800 ! polar H, +ve charge
 17MASS  -1  HGP3       1.00800 ! polar H, thiol
 18MASS  -1  HGP4       1.00800 ! polar H, neutral conjugated -NH2 group (NA bases)
 19MASS  -1  HGP5       1.00800 ! polar H on quarternary ammonium salt (choline)
 20MASS  -1  HGPAM1     1.00800 ! polar H, NEUTRAL dimethylamine (#), terminal alkyne H
 21MASS  -1  HGPAM2     1.00800 ! polar H, NEUTRAL methylamine (#)
 22MASS  -1  HGPAM3     1.00800 ! polar H, NEUTRAL ammonia (#)
 23!(#) EXTREME care is required when doing atom typing on compounds that look like this. Use ONLY
 24!on NEUTRAL METHYLAMINE groups, NOT Schiff Bases, but DO use on 2 out of 3 guanidine nitrogens
 25MASS  -1  HGR51      1.00800 ! nonpolar H, neutral 5-mem planar ring C, LJ based on benzene
 26MASS  -1  HGR52      1.00800 ! Aldehyde H, formamide H (RCOH); nonpolar H, neutral 5-mem planar ring C adjacent     to heteroatom or + charge
 27MASS  -1  HGR53      1.00800 ! nonpolar H, +ve charge HIS he1(+1)
 28MASS  -1  HGR61      1.00800 ! aromatic H
 29MASS  -1  HGR62      1.00800 ! nonpolar H, neutral 6-mem planar ring C adjacent to heteroatom
 30MASS  -1  HGR63      1.00800 ! nonpolar H, NAD+ nicotineamide all ring CH hydrogens
 31MASS  -1  HGR71      1.00800 ! nonpolar H, neutral 7-mem arom ring, AZUL, azulene, kevo
 32!carbons
 33MASS  -1  CG1T1     12.01100 ! internal alkyne R-C#C
 34MASS  -1  CG1T2     12.01100 ! terminal alkyne H-C#C
 35MASS  -1  CG1N1     12.01100 ! C for cyano group
 36MASS  -1  CG2D1     12.01100 ! alkene; RHC= ; imine C
 37MASS  -1  CG2D2     12.01100 ! alkene; H2C=
 38MASS  -1  CG2D1O    12.01100 ! double bond C adjacent to heteroatom. In conjugated systems, the atom to which it     is double bonded must be CG2DC1.
 39MASS  -1  CG2D2O    12.01100 ! double bond C adjacent to heteroatom. In conjugated systems, the atom to which it     is double bonded must be CG2DC2.
 40MASS  -1  CG2DC1    12.01100 ! conjugated alkenes, R2C=CR2
 41MASS  -1  CG2DC2    12.01100 ! conjugated alkenes, R2C=CR2
 42MASS  -1  CG2DC3    12.01100 ! conjugated alkenes, H2C=
 43MASS  -1  CG2N1     12.01100 ! conjugated C in guanidine/guanidinium
 44MASS  -1  CG2N2     12.01100 ! conjugated C in amidinium cation
 45MASS  -1  CG2O1     12.01100 ! carbonyl C: amides
 46MASS  -1  CG2O2     12.01100 ! carbonyl C: esters, [neutral] carboxylic acids
 47MASS  -1  CG2O3     12.01100 ! carbonyl C: [negative] carboxylates
 48MASS  -1  CG2O4     12.01100 ! carbonyl C: aldehydes
 49MASS  -1  CG2O5     12.01100 ! carbonyl C: ketones
 50MASS  -1  CG2O6     12.01100 ! carbonyl C: urea, carbonate
 51MASS  -1  CG2O7     12.01100 ! CO2 carbon
 52MASS  -1  CG2R51    12.01100 ! 5-mem ring, his CG, CD2(0), trp
 53MASS  -1  CG2R52    12.01100 ! 5-mem ring, double bound to N, PYRZ, pyrazole
 54MASS  -1  CG2R53    12.01100 ! 5-mem ring, double bound to N and adjacent to another heteroatom, purine C8, his     CE1 (0,+1), 2PDO, kevo
 55MASS  -1  CG2R57    12.01100 ! 5-mem ring, bipyrroles
 56MASS  -1  CG25C1    12.01100 ! same as CG2DC1 but in 5-membered ring with exocyclic double bond
 57MASS  -1  CG25C2    12.01100 ! same as CG2DC2 but in 5-membered ring with exocyclic double bond
 58MASS  -1  CG251O    12.01100 ! same as CG2D1O but in 5-membered ring with exocyclic double bond
 59MASS  -1  CG252O    12.01100 ! same as CG2D2O but in 5-membered ring with exocyclic double bond
 60MASS  -1  CG2R61    12.01100 ! 6-mem aromatic C
 61MASS  -1  CG2R62    12.01100 ! 6-mem aromatic C for protonated pyridine (NIC) and rings containing carbonyls (see     CG2R63) (NA)
 62MASS  -1  CG2R63    12.01100 ! 6-mem aromatic amide carbon (NA) (and other 6-mem aromatic carbonyls?)
 63MASS  -1  CG2R64    12.01100 ! 6-mem aromatic amidine and guanidine carbon (between 2 or 3 Ns and double-bound to     one of them), NA, PYRM
 64MASS  -1  CG2R66    12.01100 ! 6-mem aromatic carbon bound to F
 65MASS  -1  CG2R67    12.01100 ! 6-mem aromatic carbon of biphenyl
 66MASS  -1  CG2RC0    12.01100 ! 6/5-mem ring bridging C, guanine C4,C5, trp
 67MASS  -1  CG2R71    12.01100 ! 7-mem ring arom C, AZUL, azulene, kevo
 68MASS  -1  CG2RC7    12.01100 ! sp2 ring connection with single bond(!), AZUL, azulene, kevo
 69MASS  -1  CG301     12.01100 ! aliphatic C, no hydrogens, neopentane
 70MASS  -1  CG302     12.01100 ! aliphatic C, no hydrogens, trifluoromethyl
 71MASS  -1  CG311     12.01100 ! aliphatic C with 1 H, CH
 72MASS  -1  CG312     12.01100 ! aliphatic C with 1 H, difluoromethyl
 73MASS  -1  CG314     12.01100 ! aliphatic C with 1 H, adjacent to positive N (PROT NTER) (+)
 74MASS  -1  CG321     12.01100 ! aliphatic C for CH2
 75MASS  -1  CG322     12.01100 ! aliphatic C for CH2, monofluoromethyl
 76MASS  -1  CG323     12.01100 ! aliphatic C for CH2, thiolate carbon
 77MASS  -1  CG324     12.01100 ! aliphatic C for CH2, adjacent to positive N (piperidine) (+)
 78MASS  -1  CG331     12.01100 ! aliphatic C for methyl group (-CH3)
 79MASS  -1  CG334     12.01100 ! aliphatic C for methyl group (-CH3), adjacent to positive N (PROT NTER) (+)
 80MASS  -1  CG3AM0    12.01100 ! aliphatic C for CH3, NEUTRAL trimethylamine methyl carbon (#)
 81MASS  -1  CG3AM1    12.01100 ! aliphatic C for CH3, NEUTRAL dimethylamine methyl carbon (#)
 82MASS  -1  CG3AM2    12.01100 ! aliphatic C for CH3, NEUTRAL methylamine methyl carbon (#)
 83!(#) EXTREME care is required when doing atom typing on compounds that look like this. Use ONLY
 84!on NEUTRAL METHYLAMINE groups, NOT ETHYL, NOT Schiff Bases, but DO use on 2 out of 3 guanidine nitrogens
 85MASS  -1  CG3C31    12.01100 ! cyclopropyl carbon
 86MASS  -1  CG3C41    12.01100 ! cyclobutyl carbon
 87MASS  -1  CG3C50    12.01100 ! 5-mem ring aliphatic quaternary C (cholesterol, bile acids)
 88MASS  -1  CG3C51    12.01100 ! 5-mem ring aliphatic CH  (proline CA, furanoses)
 89MASS  -1  CG3C52    12.01100 ! 5-mem ring aliphatic CH2 (proline CB/CG/CD, THF, deoxyribose)
 90MASS  -1  CG3C53    12.01100 ! 5-mem ring aliphatic CH  adjacent to positive N (proline.H+ CA) (+)
 91MASS  -1  CG3C54    12.01100 ! 5-mem ring aliphatic CH2 adjacent to positive N (proline.H+ CD) (+)
 92MASS  -1  CG3RC1    12.01100 ! bridgehead in bicyclic systems containing at least one 5-membered or smaller ring
 93!(+) Includes protonated Shiff base (NG3D5, NG2R52 in 2HPP) but NOT amidinium (NG2R52 in IMIM), guanidinium
 94!nitrogens
 95MASS  -1  NG1T1     14.00700 ! N for cyano group
 96!MASS  -1  NG1D1     14.00700 ! terminal N in azides, lsk
 97MASS  -1  NG2D1     14.00700 ! N for neutral imine/Schiff's base (C=N-R, acyclic amidine, gunaidine)
 98MASS  -1  NG2S0     14.00700 ! N,N-disubstituted amide, proline N (CO=NRR')
 99MASS  -1  NG2S1     14.00700 ! peptide nitrogen (CO=NHR)
100MASS  -1  NG2S2     14.00700 ! terminal amide nitrogen (CO=NH2)
101MASS  -1  NG2S3     14.00700 ! external amine ring nitrogen (planar/aniline), phosphoramidate
102!MASS  -1  NG2S4     14.00700 ! neutral hydroxamic acid
103MASS  -1  NG2O1     14.00700 ! NITB, nitrobenzene
104MASS  -1  NG2P1     14.00700 ! N for protonated imine/Schiff's base (C=N(+)H-R, acyclic amidinium, guanidinium)
105MASS  -1  NG2R43    14.00700 ! amide in 4-memebered ring (planar), AZDO, lsk
106MASS  -1  NG2R50    14.00700 ! double bound neutral 5-mem planar ring, purine N7
107MASS  -1  NG2R51    14.00700 ! single bound neutral 5-mem planar (all atom types sp2) ring, his, trp pyrrole     (fused)
108MASS  -1  NG2R52    14.00700 ! protonated schiff base, amidinium, guanidinium in 5-membered ring, HIS, 2HPP, kevo
109MASS  -1  NG2R53    14.00700 ! amide in 5-memebered NON-SP2 ring (slightly pyramidized), 2PDO, kevo
110MASS  -1  NG2R57    14.00700 ! 5-mem ring, bipyrroles
111MASS  -1  NG2R60    14.00700 ! double bound neutral 6-mem planar ring, pyr1, pyzn
112MASS  -1  NG2R61    14.00700 ! single bound neutral 6-mem planar ring imino nitrogen; glycosyl linkage
113MASS  -1  NG2R62    14.00700 ! double bound 6-mem planar ring with heteroatoms in o or m, pyrd, pyrm
114MASS  -1  NG2R67    14.00700 ! 6-mem planar ring substituted with 6-mem planar ring (N-phenyl pyridinones etc.)
115MASS  -1  NG2RC0    14.00700 ! 6/5-mem ring bridging N, indolizine, INDZ, kevo
116MASS  -1  NG301     14.00700 ! neutral trimethylamine nitrogen
117MASS  -1  NG311     14.00700 ! neutral dimethylamine nitrogen
118MASS  -1  NG321     14.00700 ! neutral methylamine nitrogen
119MASS  -1  NG331     14.00700 ! neutral ammonia nitrogen
120MASS  -1  NG3C51    14.00700 ! secondary sp3 amine in 5-membered ring
121MASS  -1  NG3N1     14.00700 ! N in hydrazine, HDZN
122MASS  -1  NG3P0     14.00700 ! quarternary N+, choline
123MASS  -1  NG3P1     14.00700 ! tertiary NH+ (PIP)
124MASS  -1  NG3P2     14.00700 ! secondary NH2+ (proline)
125MASS  -1  NG3P3     14.00700 ! primary NH3+, phosphatidylethanolamine
126!oxygens
127MASS  -1  OG2D1     15.99940 ! carbonyl O: amides, esters, [neutral] carboxylic acids, aldehydes, uera
128MASS  -1  OG2D2     15.99940 ! carbonyl O: negative groups: carboxylates, carbonate
129MASS  -1  OG2D3     15.99940 ! carbonyl O: ketones
130MASS  -1  OG2D4     15.99940 ! 6-mem aromatic carbonyl oxygen (nucleic bases)
131MASS  -1  OG2D5     15.99940 ! CO2 oxygen
132MASS  -1  OG2N1     15.99940 ! NITB, nitrobenzene
133MASS  -1  OG2P1     15.99940 ! =O in phosphate or sulfate
134MASS  -1  OG2R50    15.99940 ! FURA, furan
135MASS  -1  OG3R60    15.99940 ! O in 6-mem cyclic enol ether (PY01, PY02) or ester
136MASS  -1  OG301     15.99940 ! ether -O- !SHOULD WE HAVE A SEPARATE ENOL ETHER??? IF YES, SHOULD WE MERGE IT WITH     OG3R60???
137MASS  -1  OG302     15.99940 ! ester -O-
138MASS  -1  OG303     15.99940 ! phosphate/sulfate ester oxygen
139MASS  -1  OG304     15.99940 ! linkage oxygen in pyrophosphate/pyrosulphate
140MASS  -1  OG311     15.99940 ! hydroxyl oxygen
141MASS  -1  OG312     15.99940 ! ionized alcohol oxygen
142MASS  -1  OG3C31    15.99940 ! epoxide oxygen, 1EOX, 1BOX, sc
143MASS  -1  OG3C51    15.99940 ! 5-mem furanose ring oxygen (ether)
144MASS  -1  OG3C61    15.99940 ! DIOX, dioxane, ether in 6-membered ring !SHOULD WE MERGE THIS WITH OG3R60???
145!sulphurs
146MASS  -1  SG2D1     32.06000 ! thiocarbonyl S
147MASS  -1  SG2R50    32.06000 ! THIP, thiophene
148MASS  -1  SG311     32.06000 ! sulphur, SH, -S-
149MASS  -1  SG301     32.06000 ! sulfur C-S-S-C type
150MASS  -1  SG302     32.06000 ! thiolate sulfur (-1)
151MASS  -1  SG3O1     32.06000 ! sulfate -1 sulfur
152MASS  -1  SG3O2     32.06000 ! neutral sulfone/sulfonamide sulfur
153MASS  -1  SG3O3     32.06000 ! neutral sulfoxide sulfur
154!halogens
155MASS  -1  CLGA1     35.45300 ! CLET, DCLE, chloroethane, 1,1-dichloroethane
156MASS  -1  CLGA3     35.45300 ! TCLE, 1,1,1-trichloroethane
157MASS  -1  CLGR1     35.45300 ! CHLB, chlorobenzene
158MASS  -1  BRGA1     79.90400 ! BRET, bromoethane
159MASS  -1  BRGA2     79.90400 ! DBRE, 1,1-dibromoethane
160MASS  -1  BRGA3     79.90400 ! TBRE, 1,1,1-dibromoethane
161MASS  -1  BRGR1     79.90400 ! BROB, bromobenzene
162MASS  -1  IGR1     126.90447 ! IODB, iodobenzene
163MASS  -1  FGA1      18.99800 ! aliphatic fluorine, monofluoro
164MASS  -1  FGA2      18.99800 ! aliphatic fluorine, difluoro
165MASS  -1  FGA3      18.99800 ! aliphatic fluorine, trifluoro
166MASS  -1  FGP1      18.99800 ! anionic F, for ALF4 AlF4-
167MASS  -1  FGR1      18.99800 ! aromatic flourine

The third column, like HGA1 or CG331, is the atom type that can be accepted by ABGrow. Statements after ! are the explainations of that atom type. For example,

MASS  -1  CG331     12.01100 ! aliphatic C for methyl group (-CH3)

So, for a carbon atom that is aliphatic C for methyl group (-CH3), it should be given a type of CG331.

In most cases, topgen can predict the correct type, but sometimes it fails. For exmaple, in Line 100, the first carbone atom is given a type of CG2RC7, which is of course wrong. This is a quaternary carbon with 4 benzene rings. Unfortunately, CGenFF does not have such an atom type. In this circumstance, one should give it a type from CGenFF that is chemically most similar. We can find this:

MASS  -1  CG301     12.01100 ! aliphatic C, no hydrogens, neopentane

This quaternary carbon type in neopentane seems to be the most similar one. So, this carbon atom is given a type of CG301. Remeber to make this change in monomer-abgrow.xyz.

5.4.2. Charge

The automatically generated atomic charges usually do not work. A quatnum chemical calculation is needed. There are 2 steps:

  1. Generate wave function file with a quantum chemical program, like Qbics (free of charge) or Gaussian (commercial software).

  2. Calculate RESP charges with Multiwfn.

5.4.2.1. Generate Wave Function

For the purpose of calculating RESP charges, a density functional theory (DFT) like B3LYP/6-31g(d) is often sufficient.

An input file for Qbics monomer.inp is given below:

monomer.inp
 1basis
 2    6-31g(d)
 3end
 4
 5scf
 6    charge   0   # The total charge.
 7    spin2p1  1   # The spin multiplicity.
 8end
 9
10mol
11    monomer-abgrow.xyz # You can add path to the file name, or just put all coordinates here.
12end
13
14task
15    energy b3lyp
16end

Then run Qbics to do the calculation:

$ qbics-linux-cpu monomer.inp -n 8 > monomer.out &

If you use Windows version, just change qbics-linux-cpu to qbics-win-cpu; -+n 8 menas 8 cores are used, which can be changed to other suitable number. After calculation, you can get a file called monomer.mwfn. This is the wave function file that can be supported by Multiwfn best.

For more details of Qbics, please refer to http://qibcs.info. A tutorial can be found at http://qibcs.info/tutorial.

If you prefer Gaussian, prepare the following input monomer.gjf:

monomer.gjf
 1%nprocs=8
 2#B3LYP/6-31g(d) Output(wfn)
 3
 4monomer
 5
 60 1
 7C                 -0.00000000    0.00000000    0.00000000
 8C                 -0.99204361    0.67989624   -0.94006954
 9C                 -1.62513076   -0.10642738   -1.90138442
10C                 -1.24520505    2.04367646   -0.93242437
11C                 -2.50784698    0.45009463   -2.80643536
12H                 -1.41636178   -1.16636581   -1.94027187
13C                 -2.12863118    2.60280511   -1.84215854
14H                 -0.74872619    2.68691666   -0.22165626
15C                 -2.76733728    1.81056951   -2.77756466
16H                 -2.99072901   -0.17871632   -3.54031416
17H                 -2.31214042    3.66730700   -1.81823226
18H                 -3.45545629    2.24898711   -3.48516956
19C                  0.67989624    0.99204361    0.94006954
20C                  2.04367646    1.24520505    0.93242437
21C                 -0.10642738    1.62513076    1.90138442
22C                  2.60280511    2.12863118    1.84215854
23H                  2.68691666    0.74872619    0.22165626
24C                  0.45009463    2.50784698    2.80643536
25H                 -1.16636581    1.41636178    1.94027187
26C                  1.81056951    2.76733728    2.77756466
27H                  3.66730700    2.31214042    1.81823226
28H                 -0.17871632    2.99072901    3.54031416
29H                  2.24898711    3.45545629    3.48516956
30C                  0.99204361   -0.67989624   -0.94006954
31C                  1.24520505   -2.04367646   -0.93242437
32C                  1.62513076    0.10642738   -1.90138442
33C                  2.12863118   -2.60280511   -1.84215854
34H                  0.74872619   -2.68691666   -0.22165626
35C                  2.50784698   -0.45009463   -2.80643536
36H                  1.41636178    1.16636581   -1.94027187
37C                  2.76733728   -1.81056951   -2.77756466
38H                  2.31214042   -3.66730700   -1.81823226
39H                  2.99072901    0.17871632   -3.54031416
40H                  3.45545629   -2.24898711   -3.48516956
41C                 -0.67989624   -0.99204361    0.94006954
42C                  0.10642738   -1.62513076    1.90138442
43C                 -2.04367646   -1.24520505    0.93242437
44C                 -0.45009463   -2.50784698    2.80643536
45H                  1.16636581   -1.41636178    1.94027187
46C                 -2.60280511   -2.12863118    1.84215854
47H                 -2.68691666   -0.74872619    0.22165626
48C                 -1.81056951   -2.76733728    2.77756466
49H                  0.17871632   -2.99072901    3.54031416
50H                 -3.66730700   -2.31214042    1.81823226
51H                 -2.24898711   -3.45545629    3.48516956
52
53monomer.wfn

Then run Gaussian to do the calculation:

$ g16 < monomer.gjf > monomer.out &

After calculation, you can get a file called monomer.wfn. This is the wave function file that can be supported by Multiwfn best.

5.4.2.2. Calculate RESP Charges

With monomer.mwfn or monomer.wfn, restrained electrostatic potential (RESP) can be evaluated easily with powerful and free Multiwfn. You can run the following commands:

$ Multiwfn monomer.mwfn
$ 7  # Choose: Population analysis and calculation of atomic charges
$ 18 # Choose: Restrained ElectroStatic Potential (RESP) atomic charge
$ 1  # Choose: Start standard two-stage RESP fitting calculation
$ y  # Save RESP charges to monomer.chg.

Attention

If you used Multiwfn to calculate RESP charges, please cite the following papers:

After a few minutes, RESP charges will be saved to monomer.chg. Open it you will see:

monomer.chg
 1C     0.000000    0.000000    0.000000  -1.5653348594
 2C    -0.992044    0.679896   -0.940070   0.5486338023
 3C    -1.625131   -0.106427   -1.901384  -0.1807938321
 4C    -1.245205    2.043676   -0.932424  -0.1757742630
 5C    -2.507847    0.450095   -2.806435  -0.1528019340
 6H    -1.416362   -1.166366   -1.940272   0.1381451620
 7C    -2.128631    2.602805   -1.842159  -0.1687077518
 8H    -0.748726    2.686917   -0.221656   0.1232876422
 9C    -2.767337    1.810570   -2.777565  -0.1093811603
10H    -2.990729   -0.178716   -3.540314   0.1236800912
11...

The last column is the charges. Use them to replace the charges in monomer-abgrow.xyz, you will get a good monomer file:

monomer-abgrow.xyz
  145
  2RESP at B3LYP/6-31g(d)
  3C     -0.00000000      0.00000000      0.00000000
  4C     -0.99204361      0.67989624     -0.94006954
  5C     -1.62513076     -0.10642738     -1.90138442
  6C     -1.24520505      2.04367646     -0.93242437
  7C     -2.50784698      0.45009463     -2.80643536
  8H     -1.41636178     -1.16636581     -1.94027187
  9C     -2.12863118      2.60280511     -1.84215854
 10H     -0.74872619      2.68691666     -0.22165626
 11C     -2.76733728      1.81056951     -2.77756466
 12H     -2.99072901     -0.17871632     -3.54031416
 13H     -2.31214042      3.66730700     -1.81823226
 14H     -3.45545629      2.24898711     -3.48516956
 15C      0.67989624      0.99204361      0.94006954
 16C      2.04367646      1.24520505      0.93242437
 17C     -0.10642738      1.62513076      1.90138442
 18C      2.60280511      2.12863118      1.84215854
 19H      2.68691666      0.74872619      0.22165626
 20C      0.45009463      2.50784698      2.80643536
 21H     -1.16636581      1.41636178      1.94027187
 22C      1.81056951      2.76733728      2.77756466
 23H      3.66730700      2.31214042      1.81823226
 24H     -0.17871632      2.99072901      3.54031416
 25H      2.24898711      3.45545629      3.48516956
 26C      0.99204361     -0.67989624     -0.94006954
 27C      1.24520505     -2.04367646     -0.93242437
 28C      1.62513076      0.10642738     -1.90138442
 29C      2.12863118     -2.60280511     -1.84215854
 30H      0.74872619     -2.68691666     -0.22165626
 31C      2.50784698     -0.45009463     -2.80643536
 32H      1.41636178      1.16636581     -1.94027187
 33C      2.76733728     -1.81056951     -2.77756466
 34H      2.31214042     -3.66730700     -1.81823226
 35H      2.99072901      0.17871632     -3.54031416
 36H      3.45545629     -2.24898711     -3.48516956
 37C     -0.67989624     -0.99204361      0.94006954
 38C      0.10642738     -1.62513076      1.90138442
 39C     -2.04367646     -1.24520505      0.93242437
 40C     -0.45009463     -2.50784698      2.80643536
 41H      1.16636581     -1.41636178      1.94027187
 42C     -2.60280511     -2.12863118      1.84215854
 43H     -2.68691666     -0.74872619      0.22165626
 44C     -1.81056951     -2.76733728      2.77756466
 45H      0.17871632     -2.99072901      3.54031416
 46H     -3.66730700     -2.31214042      1.81823226
 47H     -2.24898711     -3.45545629      3.48516956
 48
 491 2 1.0 13 1.0 24 1.0 35 1.0
 502 3 1.0 4 2.0
 513 5 2.0 6 1.0
 524 7 2.0 8 1.0
 535 9 2.0 10 1.0
 546
 557 9 2.0 11 1.0
 568
 579 12 1.0
 5810
 5911
 6012
 6113 14 2.0 15 1.0
 6214 16 2.0 17 1.0
 6315 18 2.0 19 1.0
 6416 20 2.0 21 1.0
 6517
 6618 20 2.0 22 1.0
 6719
 6820 23 1.0
 6921
 7022
 7123
 7224 25 2.0 26 1.0
 7325 27 2.0 28 1.0
 7426 29 2.0 30 1.0
 7527 31 2.0 32 1.0
 7628
 7729 31 2.0 33 1.0
 7830
 7931 34 1.0
 8032
 8133
 8234
 8335 36 1.0 37 2.0
 8436 38 2.0 39 1.0
 8537 40 2.0 41 1.0
 8638 42 2.0 43 1.0
 8739
 8840 42 2.0 44 1.0
 8941
 9042 45 1.0
 9143
 9244
 9345
 94
 95 9 12 0 0
 9620 23 0 0
 9731 34 0 0
 9842 45 0 0
 99
100CG301         -1.5653348594
101CG2R61         0.5486338023
102CG2R61        -0.1807938321
103CG2R61        -0.1757742630
104CG2R61        -0.1528019340
105HGR61          0.1381451620
106CG2R61        -0.1687077518
107HGR61          0.1232876422
108CG2R61        -0.1093811603
109HGR61          0.1236800912
110HGR61          0.1285771475
111HGR61          0.1146450489
112CG2R61         0.5537613777
113CG2R61        -0.1776415775
114CG2R61        -0.1804809560
115CG2R61        -0.1693787789
116HGR61          0.1236576037
117CG2R61        -0.1536901781
118HGR61          0.1379626861
119CG2R61        -0.1094535255
120HGR61          0.1289189567
121HGR61          0.1239239689
122HGR61          0.1147394315
123CG2R61         0.5556504140
124CG2R61        -0.1789253746
125CG2R61        -0.1816910129
126CG2R61        -0.1694062811
127HGR61          0.1245726781
128CG2R61        -0.1538736680
129HGR61          0.1381249369
130CG2R61        -0.1091800778
131HGR61          0.1289147407
132HGR61          0.1241384965
133HGR61          0.1146368563
134CG2R61         0.5523475596
135CG2R61        -0.1836196251
136CG2R61        -0.1777055806
137CG2R61        -0.1519120037
138HGR61          0.1384408466
139CG2R61        -0.1680540950
140HGR61          0.1240363984
141CG2R61        -0.1104475731
142HGR61          0.1240069731
143HGR61          0.1285444303
144HGR61          0.1149068592

At Line 2, we have made the title more informative.

This is the final monomer file we need.